20 Jahre TOPATEC · Qualität · Zuverlässigkeit · Innovation

Bemessung Fettabscheider gewerblicher Küchen nach Anzahl DIN 4040 und DIN EN 1825 Anschlüssen

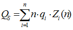
Berechnung von Qs auf Grundlage der Art des in die Abscheideranlage entwässernden Betriebes (1)

   

Bitte wählen

Ungültige Eingabe

<= 60°C ft=1,0
ständig oder gelegentlich > 60°C ft=1,3

Ungültige Eingabe

Küchen, Schlacht- und Fleischverarbeitungsbetrieben 1,0
Dichten von Fetten/Ölen > 0,94 g/cm³ 1,5
Dichte bekannt --> Tabelle EN 1825-2, Seite 7

Ungültige Eingabe

Anwendung von Spül- und Reinigungsmitteln:
keine Anwendung: 1,0
gelegentliche oder ständige Anwendung: 1,3
Sonderfälle, z.B. Krankenhäuser: >=1,5


Vorhandene Kücheneinrichtungsgegenstände
Kochkessel (Stückzahl angeben)
Ungültige Eingabe

Ungültige Eingabe

Kippkessel (Stückzahl angeben)
Ungültige Eingabe

Ungültige Eingabe

Spülbecken mit Geruchsverschluss (Stückzahl angeben)
Ungültige Eingabe

Ungültige Eingabe

Spülbecken ohne Geruchsverschluss (Stückzahl angeben)
Ungültige Eingabe

Ungültige Eingabe

Sonstiges (Bitte Stückzahl angeben)
Ungültige Eingabe

Ungültige Eingabe

Ungültige Eingabe

Ungültige Eingabe

Ungültige Eingabe

Ungültige Eingabe

Ungültige Eingabe

Ungültige Eingabe

Oder
Ungültige Eingabe

Ungültige Eingabe

Ungültige Eingabe



Ungültige Eingabe

l/s

Ungültige Eingabe

Ungültige Eingabe

Ungültige Eingabe

l


Fordern Sie ein unverbindliches Angebot
mit den soeben gemachten Angaben an:
Ungültige Eingabe

Ungültige Eingabe

Bitte geben Sie eine gültige Email-Adresse an.

Bitte geben Sie eine Rückrufnummer an.

Ungültige Eingabe

Ungültige Eingabe

Ungültige Eingabe

Ungültige Eingabe

Ungültige Eingabe


(1) Berechnungsergebnisse sind unverbindlich und ohne Gewähr.
(*) Pflichtfelder